Recherche personnalisée

Les laçages

Le noeud

Amazon Wish List

Toutes les méthodes à connaitre pour pouvoir exécuter vos laçages de chaussures. Des nœuds les plus courants aux plus farfelus. Un lacet de chaussure est une bande pouvant être faite avec différents tissus, dans le but de maintenir la chaussure sur le pied. À chaque extrémité du lacet se trouvent des morceaux de plastique qui compriment le tissu et permettent de glisser plus aisément le lacet dans les trous de la chaussure.

Méthode de laçage Chaussures avec ganse (Lugs) Bi-couleurs
Nouer les lacets Faire des lacets Faire des aglets
Définition du lacet Histoire du lacet Glossaire de la chaussure

Explication des diagrammes


Tous les diagrammes montrent la partie frontale des chaussures et le bas du diagramme représente le bas des œillets.  

Pour facilité le suivi du parcours du lacet il y a le code de couleurs suivant :

Généralement le débute du lâçage est en gris

La partie du lacet qui va vers la gauche est en Bleu

La partie du lacet qui va vers la droite est en Jaune

En moyenne les chaussures  on deux pairs de six œillets. Les mathématiques du laçage nous dit qu’il y a 2 trillion de façon de lacer des chaussures au travers des 12 œillets.

 Faire passer le lacet au travers d’un œillet à partir de l’intérieur ou de l’extérieur : 

12 possibilités à partir de l’extérieur et 12 possibilités à partir de L’intérieur = 24 possibilités.

 Continuer au travers des 11 œillets restants de l’intérieur ou de l’extérieur :

 11 possibilités à partir de l’extérieur et 11 possibilités à partir de L’intérieur = 22

 24 X 22 = 528 possibilités

 Continuer au travers des 10 œillets restants de l’intérieur ou de l’extérieur :

 10 possibilités à partir de l’extérieur et 10 possibilités à partir de L’intérieur = 20

 24 X 22 X 20 = 10 560 possibilités

 On continue ainsi et on obtient :

 24 x 22 x 20 x 18 x 16 x 14 x 12 x 10 x 8 x 6 x 4 x 2 = 1 961 990 553 600 possibilités de lacer des chaussures.

 En réalité la moitié des laçages sont identiques car qu’on commence par la gauche ou par la droite le résultat final est le même.

 Ex :

Début de la gauche

Début de la droite

laçages identiques

Ce qui nous donne 1 961 990 553 600 / 2 = 980 995 276 800

On peut encore réduire de moitié car le résultat final est le miroir d’un autre.

 Si on suit ces contraintes :

    Le lacet doit généralement commencer et finir par les œillets des extrémités

    Le lacet doit passer au travers de chaque œillet et seulement une seul fois.

    Chaque œillet doit contribuer à serrer ensemble les deux côtés de la chaussure.

     Le laçage ne doit pas être difficile à serrer ou à desserrer.

    Chaque model de laçage doit avoir une relative stabilité.

    Ignoré les variations invraisemblables. (Changer de direction par un seul œillet)

 Le résultat final doit avoir une apparence agréable.

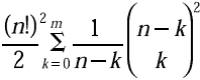
La formule pour s’avoir comment il y a de possibilité de lacer des chaussures avec 12 œillets en suivant ces contraintes est :

 

Cette formule provient d’une recherche faite par le mathématicien australien Burkard Polster. La publication de cette recherche dans la respectable revue Nature, en décembre 2002, a provoqué une effervescence d’intérêt dans la communauté académique et scientifique pour l’étude des mathématiques du laçage.

Le résultat de cette formule noue donne, pour une chaussure typique de 12 œillets, 43 200 façons de lacer  une chaussure. 

 

 

 

Accuil